# 安装包
if (!requireNamespace("flow", quietly = TRUE)) {
install.packages("flow")
}
# 加载包
library(flow)
R 脚本逻辑可视化
注记
Hiplot 网站
本页面为 Hiplot R Script Flow
插件的源码版本教程,您也可以使用 Hiplot 网站实现无代码绘图,更多信息请查看以下链接:
R 脚本逻辑可视化能够实现对 if,else 等逻辑函数进行可视化的窗口。
环境配置
系统: Cross-platform (Linux/MacOS/Windows)
编程语言: R
依赖包:
flow
数据准备
载入数据为 R 语言 if,else 函数代码
# 加载数据
<- function(){
code if (x < 10) {
<- 1
a else {
} <- 2
a
}if (a == 2) {
<- d
c else {
} <- a
d
} }
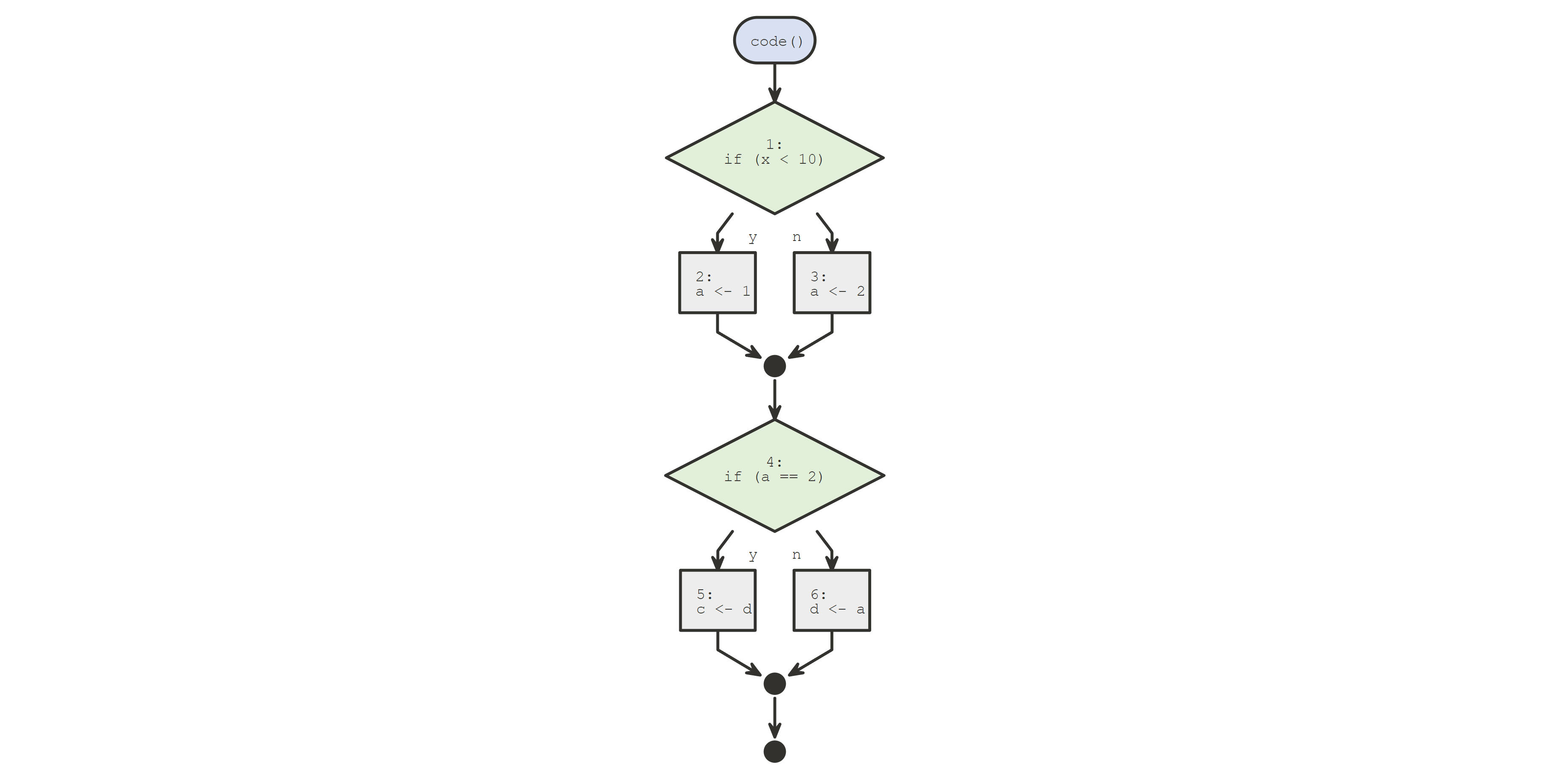
可视化
# R 脚本逻辑可视化
<- flow_view(code)
p
p

图示表示如果变量 x < 10,a = 1,如果变量 x > 10,a = 2;如果 a = 2,则 c = d,如果 a 不等于2,则 d = a。